Stage 4: The Moment of Truth - Comparing Results
Direct Comparison: Standard NN vs PINN
What we expect to see:
- Standard NN: Fits data points but fails between them
- PINN: Fits data points AND follows physics everywhere
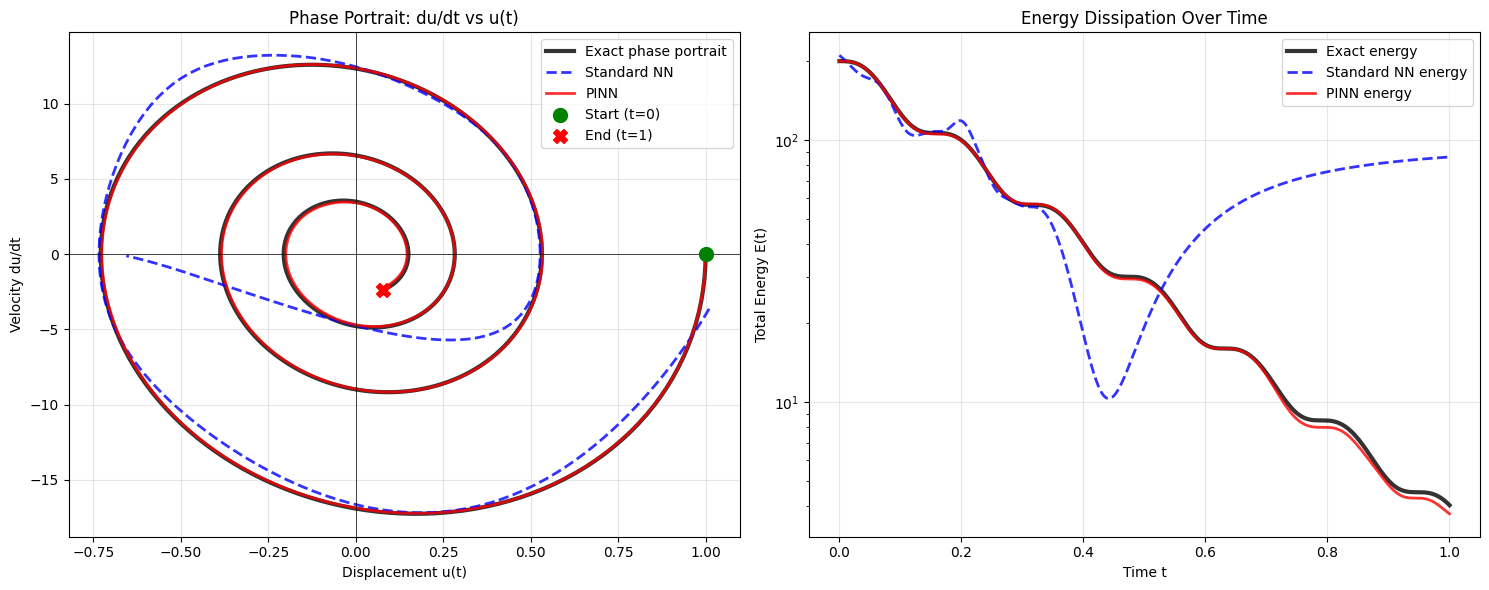
Phase Portrait Analysis: The Ultimate Physics Test
Physical Insight:
For a harmonic oscillator, the phase portrait (velocity vs displacement) reveals the underlying dynamics. Real oscillators trace smooth spirals in phase space as energy dissipates.
Critical Test: Can our neural networks capture this fundamental physical behavior?
Deep Dive: Derivative Analysis
Critical Test: Can the PINN learn physically consistent derivatives?
Since we enforce the ODE through derivatives, the PINN should naturally learn correct \( \frac{du}{dt} \) and \( \frac{d^2u}{dt^2} \).
©
|
Cornell University
|
Center for Advanced Computing
|
Copyright Statement
|
Access Statement
CVW material development is supported by NSF OAC awards 1854828, 2321040, 2323116 (UT Austin) and 2005506 (Indiana University)
CVW material development is supported by NSF OAC awards 1854828, 2321040, 2323116 (UT Austin) and 2005506 (Indiana University)